Lowndes Area Knowledge Exchange (LAKE)
Alcoholic Beverage License Application
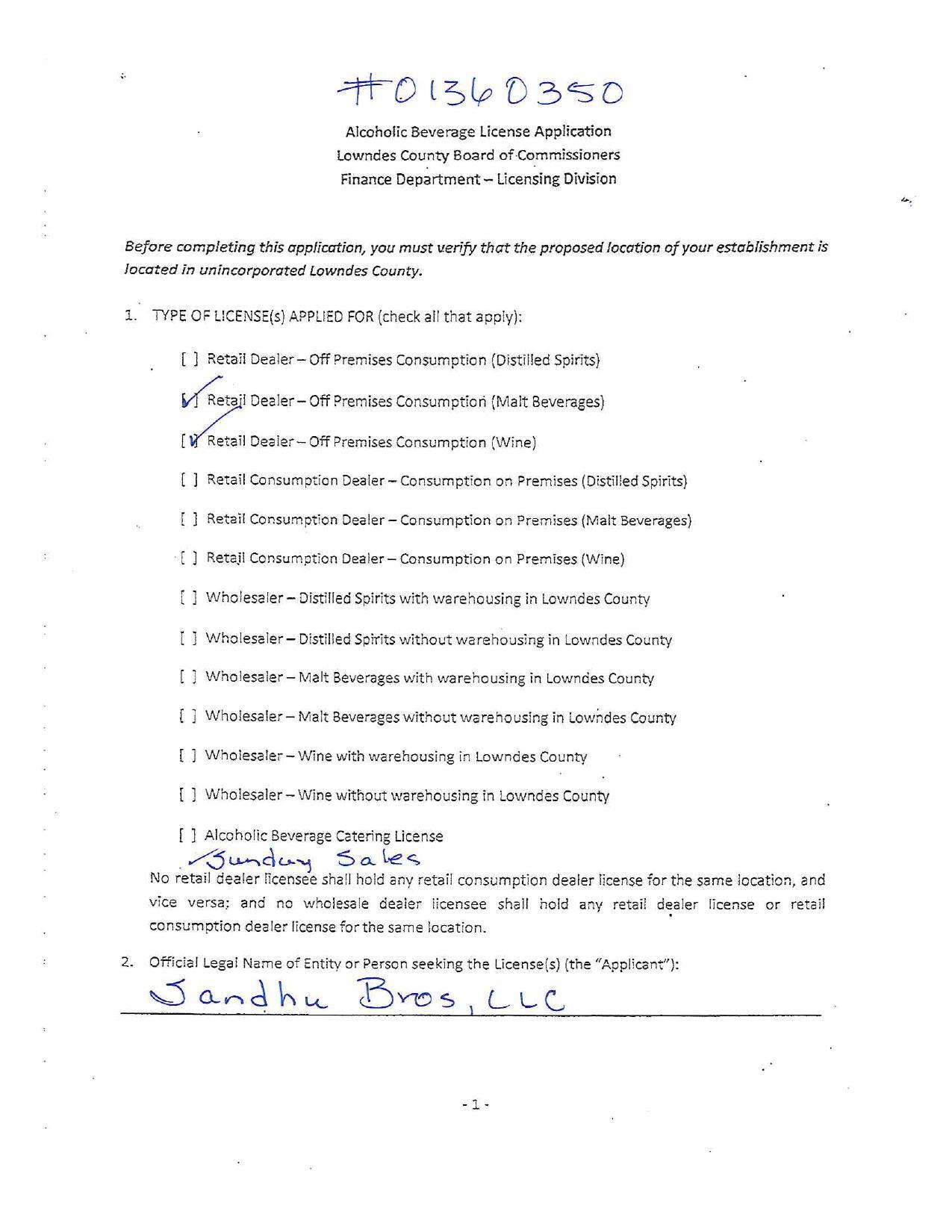
Beer and Wine License - Faisal Ijaz of Sandhu Bros, LLC, DBA Little River Groceries - 8235 Ga Hwy. 122 W., Hahira, GA
Millage, Alcohol, and Animals @ LCC
21 August 2023
smaller
PDF
Photographs
by
Lowndes Area Knowledge Exchange (LAKE)
,
licensed by a
Creative Commons Attribution-Share Alike 3.0 U.S. License
.
Lowndes Area Knowledge Exchange (LAKE)