Lowndes Area Knowledge Exchange (LAKE)
Agreement
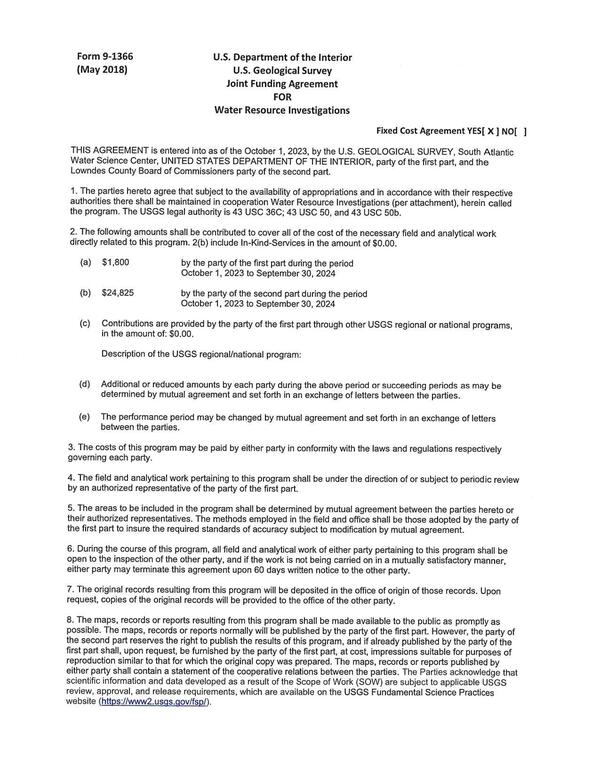
Joint Funding Agreement with USGS for Stream Gauge Maintenance
Colquitt EMC, Conference Center, 2 rezonings, 2 water, HVAC, Solar, Controls @ LCC Packet
9 October 2023
bigger
PDF
Photographs
by
Lowndes Area Knowledge Exchange (LAKE)
,
licensed by a
Creative Commons Attribution-Share Alike 3.0 U.S. License
.
Lowndes Area Knowledge Exchange (LAKE)