Lowndes Area Knowledge Exchange (LAKE)

[prev][index][next] [index to photographs]

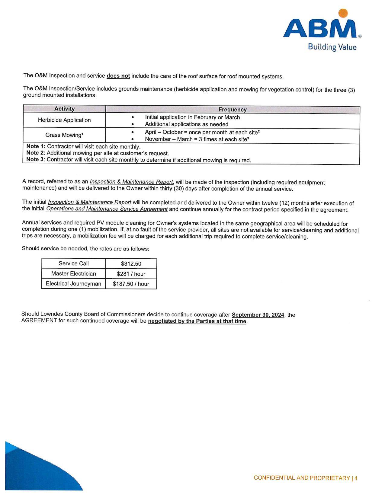
Annual services and required PV module cleaning for Owner's systems located in the same geographical area will be scheduled for

Solar Panel Maintenance Agreement
Colquitt EMC, Conference Center, 2 rezonings, 2 water, HVAC, Solar, Controls @ LCC Packet
9 October 2023

 
Annual services and required PV module cleaning for Owner's systems located in the same geographical area will be scheduled for
smaller PDF