Lowndes Area Knowledge Exchange (LAKE)

[prev][index][next] [index to photographs]

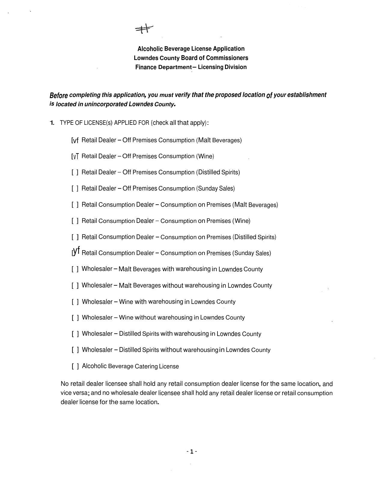
Alcoholic Beverage License Application

Beer and Wine License - Mohammad Warraich of Bahagaywalia Corporation DBA Citgo - 4460 Shiloh Rd., Valdosta, GA
Packet: expand Board of Tax Assessors, new water tower, appointments, election qualifying fees, insurance, and bids @ LCC
11 December 2023

 
Alcoholic Beverage License Application
smaller PDF