Lowndes Area Knowledge Exchange (LAKE)

[prev][index][next] [index to photographs]

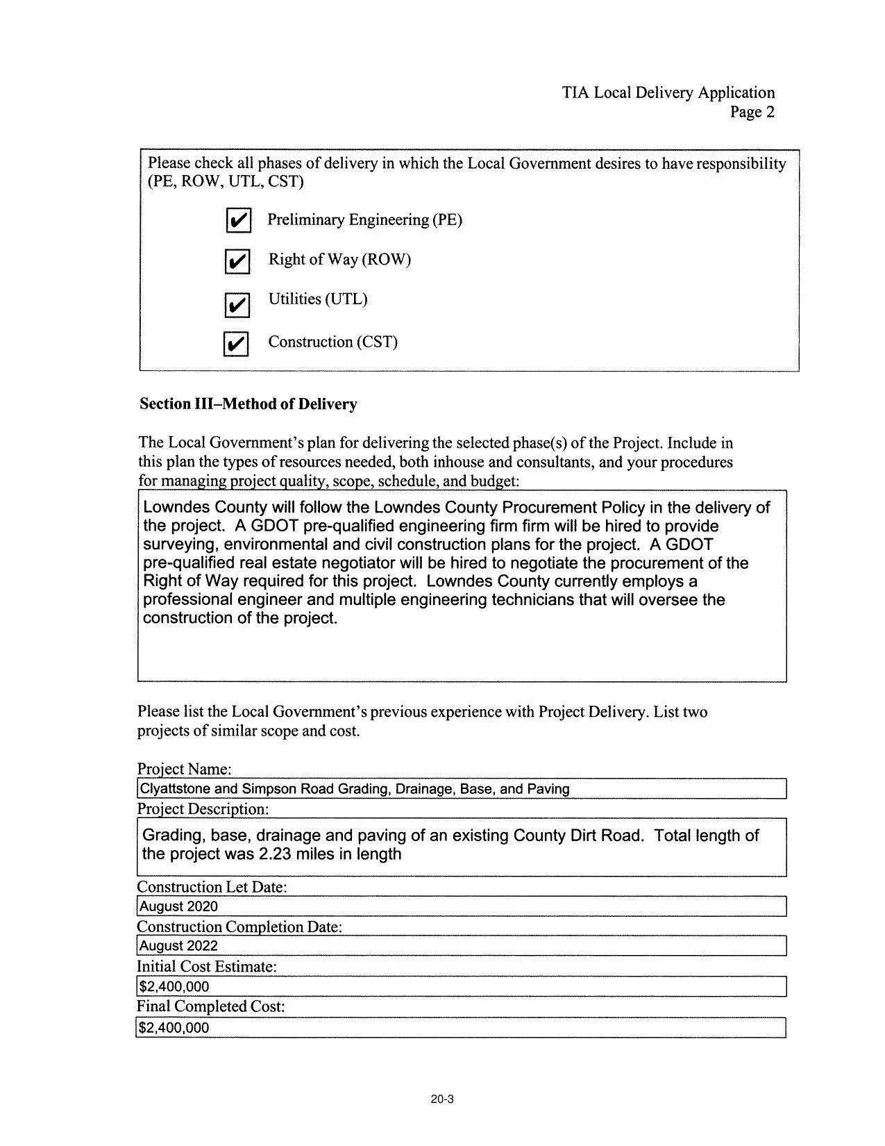
Section III—Method of Delivery; Clyattstone and Simpson Road

Hall Road Paving & Drainage, P.I. 0016281 - Transportation Improvement Act (TIA) Project Agreement Work/Regular
Packet: Hospital Authority appointment, 6 rezonings, paving and resurfacing, subdivision infrastructure, probationers @ LCC
13 May 2024

 
Section III—Method of Delivery; Clyattstone and Simpson Road
smaller PDF