Lowndes Area Knowledge Exchange (LAKE)
0% Required FY 2024 LRA Match
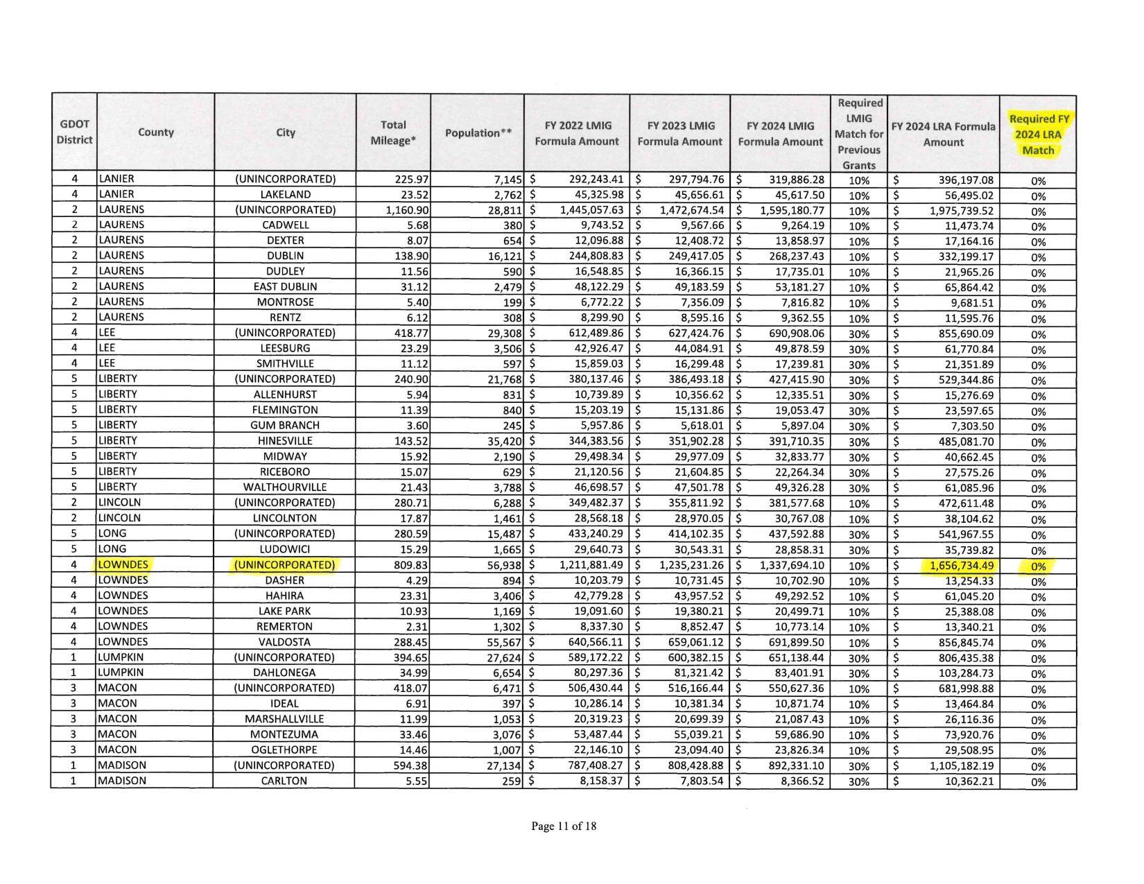
2024 Local Road Assistance (LRA) Administration Funds
Packet: LMIG for Val Del Road widening, Jail addition max price, service and software agreements @ LCC 2024-05-28
28 May 2024
smaller
PDF
Photographs
by
Lowndes Area Knowledge Exchange (LAKE)
,
licensed by a
Creative Commons Attribution-Share Alike 3.0 U.S. License
.
Lowndes Area Knowledge Exchange (LAKE)