Lowndes Area Knowledge Exchange (LAKE)

[prev][index][next] [index to photographs]

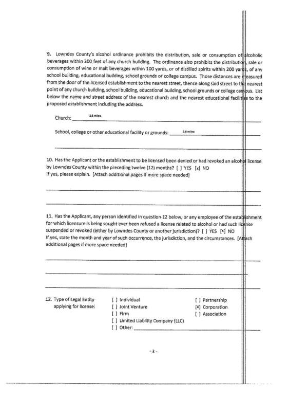
beverages within-300 feet. of any church building. The ordinance also prohibits the distributigh, sale-or

Beer and Wine License - Frank C. Love, IV of Love's Travel
Appointments to DFACS & VLPRA, Beer and Wine, Pump Station and Forklift @ LCC
12 August 2024

 
beverages within-300 feet. of any church building. The ordinance also prohibits the distributigh, sale-or
bigger PDF