Lowndes Area Knowledge Exchange (LAKE)
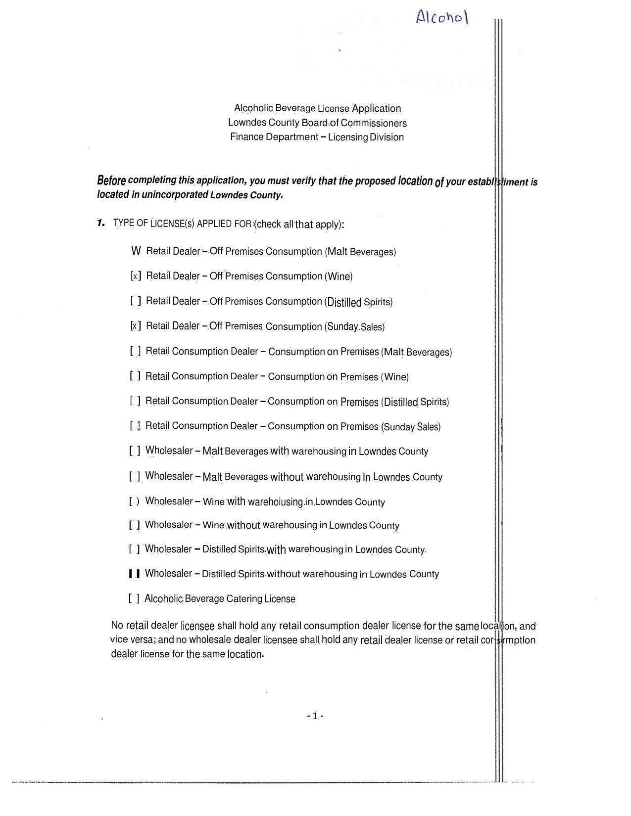
Alcoholic Beverage License Application
Beer and Wine License - Frank C. Love, IV of Love's Travel
Appointments to DFACS & VLPRA, Beer and Wine, Pump Station and Forklift @ LCC
12 August 2024
smaller
PDF
Photographs
by
Lowndes Area Knowledge Exchange (LAKE)
,
licensed by a
Creative Commons Attribution-Share Alike 3.0 U.S. License
.
Lowndes Area Knowledge Exchange (LAKE)