Lowndes Area Knowledge Exchange (LAKE)

[prev][index][next] [index to photographs]

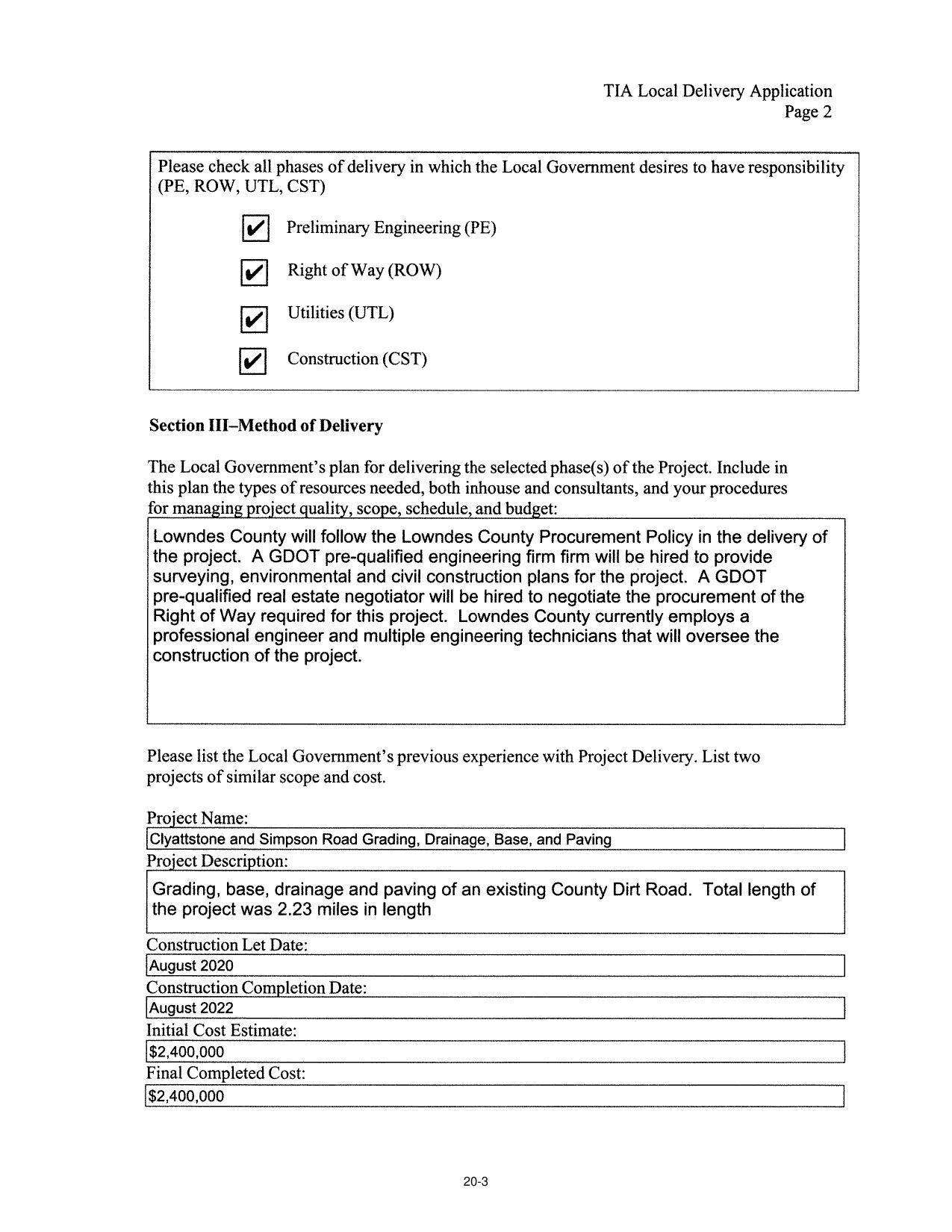
$2,400,000 Clyattstone and Simpson Road Grading, Drainage, Base, and Paving

Orr Road Extension, P.|. 0016273 - Transportation Improvement Act (TIA) Project Agreement Work
Packet: Rezonings Loch Laurel Road subdivision & Pine Grove Road townhouses; TIA Orr Road Extension @ LCC
9 September 2024

 
$2,400,000 Clyattstone and Simpson Road Grading, Drainage, Base, and Paving
smaller PDF