Lowndes Area Knowledge Exchange (LAKE)

[prev][index][next] [index to photographs]

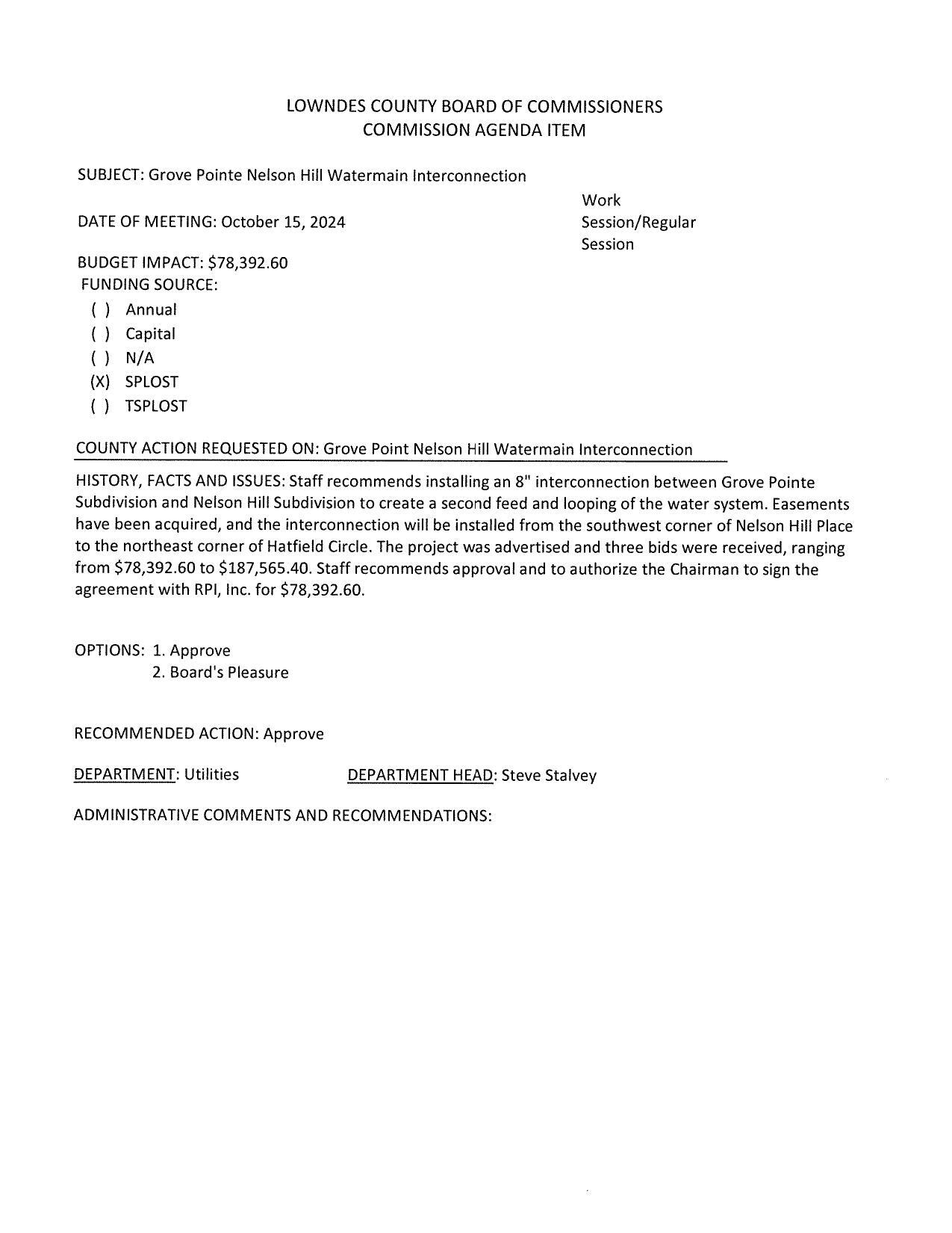
BUDGET IMPACT: $78,392.60 Three bids. Low bid RPI, Inc.

Grove Pointe Nelson Hill Watermain Interconnection
Packet: ULDC text amendments, Loch Winn LTD rezoning, adoption of millage rates, USGS stream gauges, sprayfield expansion, watermain interconnection @ LCC
14 October 2024

 
BUDGET IMPACT: $78,392.60 Three bids. Low bid RPI, Inc.
smaller PDF