Lowndes Area Knowledge Exchange (LAKE)

[prev][index][next] [index to photographs]

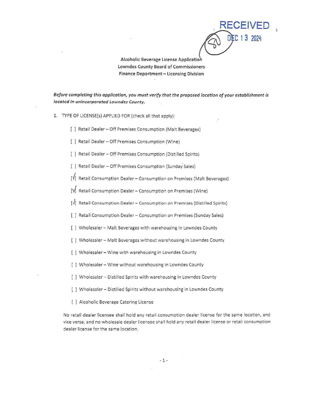
located in unincorporated Lowndes County.

Beer, Wine & Liquor License - Brian Walker of Beezy Bee, LLC, DBA Rum Runner, 3988 N. Valdosta Rd., Valdosta, GA
Packet: Development Authority appointment, VOCA grants, Coleman Road paving, LMIG, Water projects, Windstream @ LCC
13 January 2025

 
located in unincorporated Lowndes County.
smaller PDF