Lowndes Area Knowledge Exchange (LAKE)

[prev][index][next] [index to photographs]

Page 31

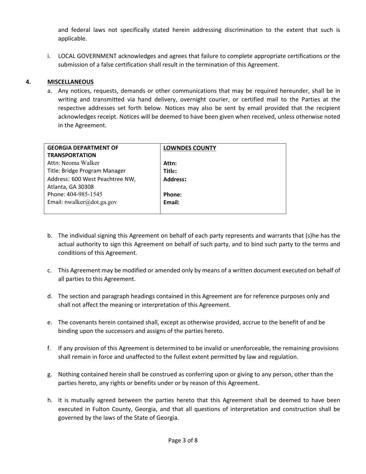
Local Bridge Replacement Project 0019937 Jumping Gully Road at Bevel Creek Memorandum of Agreement Work
Packet: Appointments to Planning Commission & Library Board, Copeland Road rezoning, Holiday and meeting schedule, Jumping Gully Road Bridge over Bevel Creek @ LCC
12 November 2025

 
Page 31
smaller PDF