Lowndes Area Knowledge Exchange (LAKE)

[prev][index][next] [index to photographs]

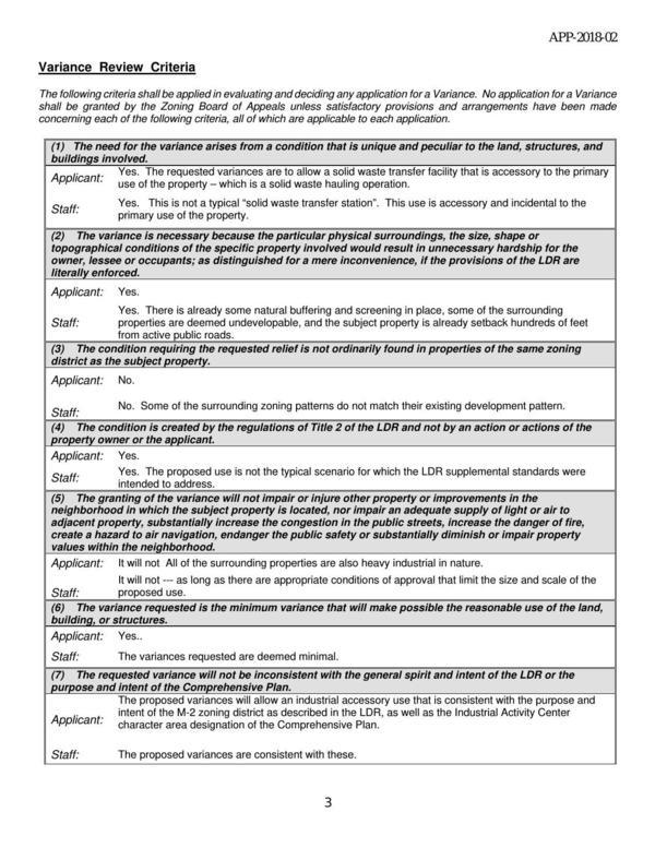
Variance Review Criteria

APP-2018-02 agenda item packet
Packet
6 January 2018

 
Variance Review Criteria
bigger PDF