Lowndes Area Knowledge Exchange (LAKE)
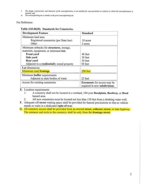
Standards for Cemeteries
VAR-2018-20 El Stafford and Victoria W. Thomas
ZBOA Packet
4 December 2018
bigger
PDF
Photographs
by
Lowndes Area Knowledge Exchange (LAKE)
,
licensed by a
Creative Commons Attribution-Share Alike 3.0 U.S. License
.
Lowndes Area Knowledge Exchange (LAKE)