Lowndes Area Knowledge Exchange (LAKE)
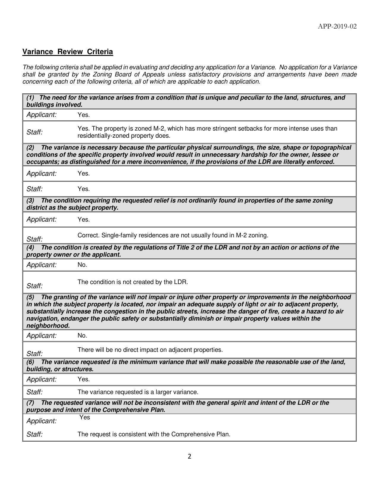
Variance Review Criteria
APP-2019-02 packet
One city setback case at ZBOA
7 May 2019
smaller
PDF
Photographs
by
Lowndes Area Knowledge Exchange (LAKE)
,
licensed by a
Creative Commons Attribution-Share Alike 3.0 U.S. License
.
Lowndes Area Knowledge Exchange (LAKE)