Lowndes Area Knowledge Exchange (LAKE)
TRC review
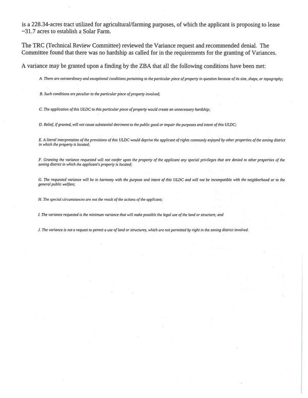
VAR-2019-09 - SolAmerica Energy- LLC Tycor Farms- LLC
One Valdosta case, solar fence, Lake Park, GA @ ZBOA
6 August 2019
bigger
PDF
Photographs
by
Lowndes Area Knowledge Exchange (LAKE)
,
licensed by a
Creative Commons Attribution-Share Alike 3.0 U.S. License
.
Lowndes Area Knowledge Exchange (LAKE)