Lowndes Area Knowledge Exchange (LAKE)
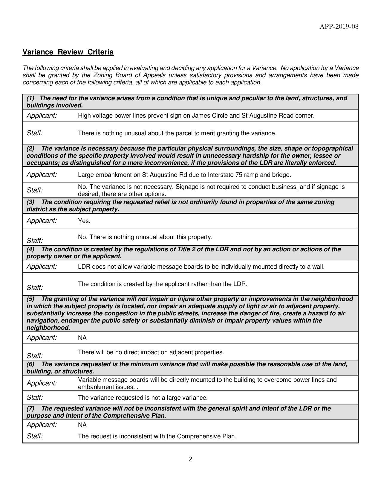
Variance Review Criteria
APP-2019-08 Packet
2 Valdosta, 1 Lowndes, Officers, Calendar @ GLPC
5 November 2019
smaller
PDF
Photographs
by
Lowndes Area Knowledge Exchange (LAKE)
,
licensed by a
Creative Commons Attribution-Share Alike 3.0 U.S. License
.
Lowndes Area Knowledge Exchange (LAKE)