Lowndes Area Knowledge Exchange (LAKE)
opaque fencing
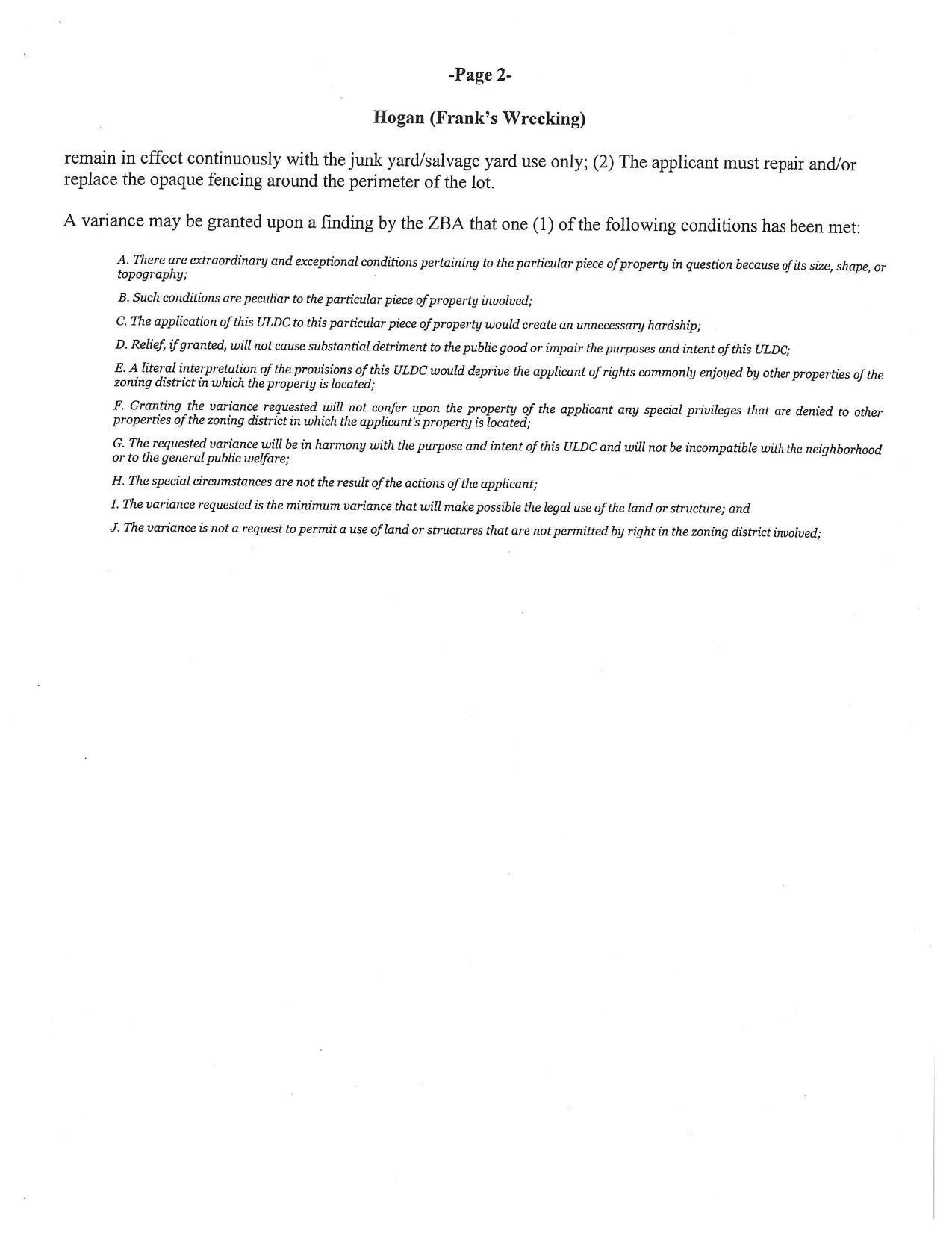
VAR-2019-16 Hogan Frank s Wrecking
Four Lowndes County cases: water, solar, junkyard, bodyshop @ ZBOA
3 December 2019
smaller
PDF
Photographs
by
Lowndes Area Knowledge Exchange (LAKE)
,
licensed by a
Creative Commons Attribution-Share Alike 3.0 U.S. License
.
Lowndes Area Knowledge Exchange (LAKE)