Lowndes Area Knowledge Exchange (LAKE)
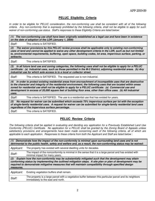
In order to be eligible for PELUC consideration, the non-conforming use shall be consistent with all of the following
APP-2019-09 agenda item packet
One Valdosta case on Eager Road @ ZBOA
7 January 2020
bigger
PDF
Photographs
by
Lowndes Area Knowledge Exchange (LAKE)
,
licensed by a
Creative Commons Attribution-Share Alike 3.0 U.S. License
.
Lowndes Area Knowledge Exchange (LAKE)