Lowndes Area Knowledge Exchange (LAKE)
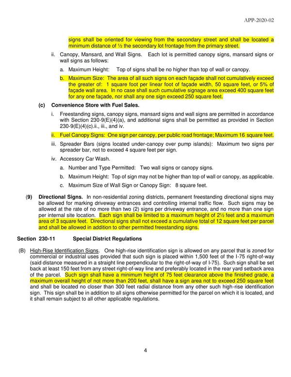
ii. Fuel Canopy Signs: One sign per canopy, per public road frontage; Maximum 16 square feet.
APP-2020-02 Quick Trip signs
QuickTrip signs and law office parking @ ZBOA
3 March 2020
bigger
PDF
Photographs
by
Lowndes Area Knowledge Exchange (LAKE)
,
licensed by a
Creative Commons Attribution-Share Alike 3.0 U.S. License
.
Lowndes Area Knowledge Exchange (LAKE)