Lowndes Area Knowledge Exchange (LAKE)

[prev][index][next] [index to photographs]

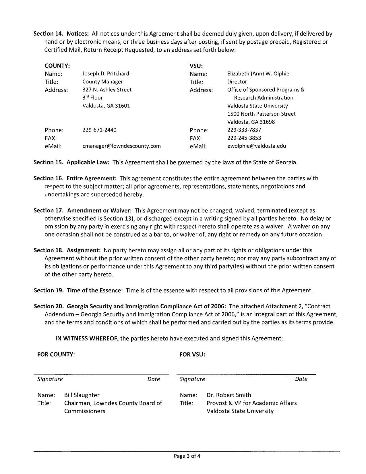
Section 14. Notices: All notices under this Agreement shall be deemed duly given, upon delivery, if delivered by

Annual Contract Renewal for Mosquito Identification and Testing
Packet: Budget, MIDS, Rezoning, Clyattstone Road, Mosquito, Law, Fiber Optic, Alcohol @ LCC
13 July 2020

 
Section 14. Notices: All notices under this Agreement shall be deemed duly given, upon delivery, if delivered by
smaller PDF