Lowndes Area Knowledge Exchange (LAKE)

[prev][index][next] [index to photographs]

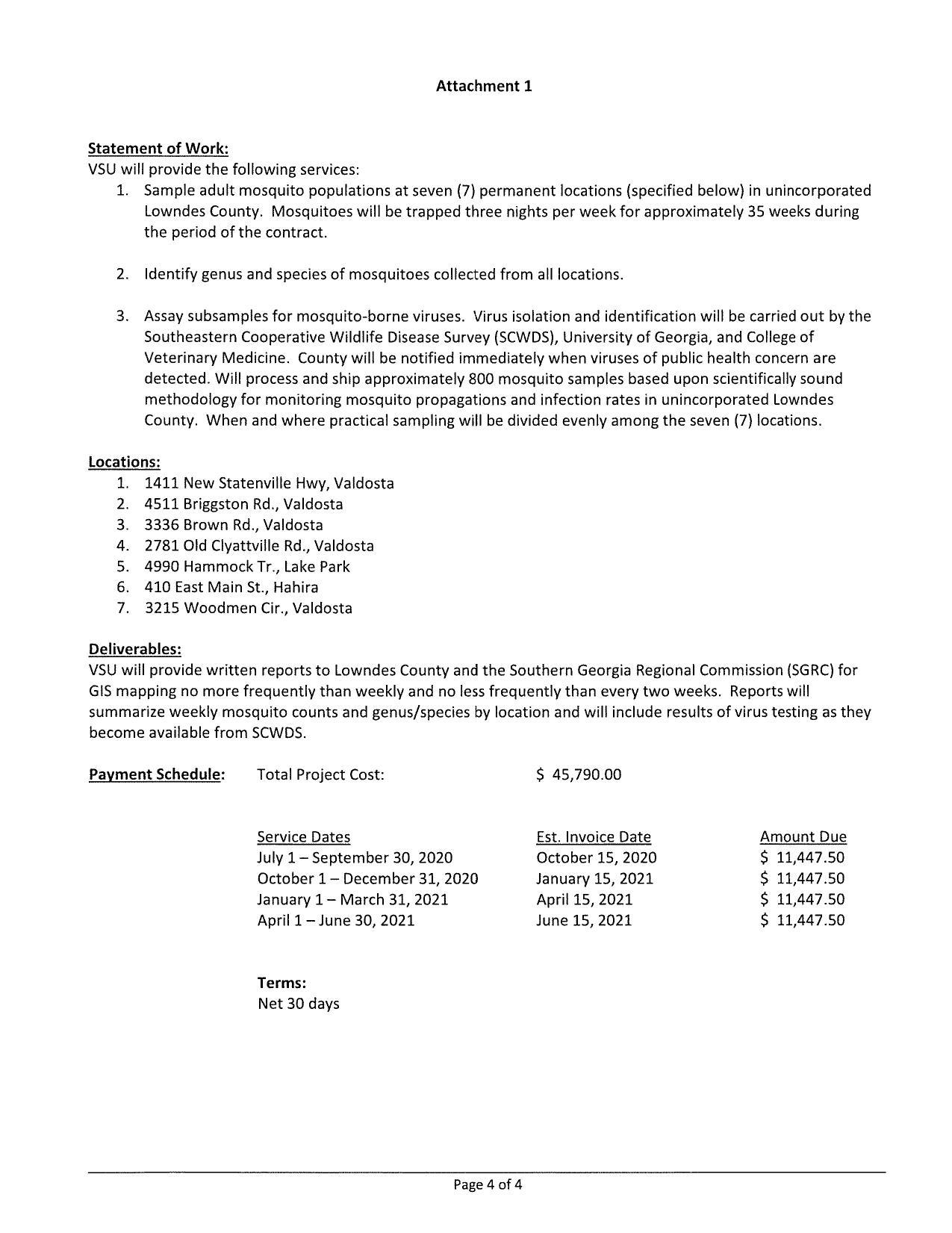
1. Sample adult mosquito populations at seven (7) permanent locations (specified below) in unincorporated

Annual Contract Renewal for Mosquito Identification and Testing
Packet: Budget, MIDS, Rezoning, Clyattstone Road, Mosquito, Law, Fiber Optic, Alcohol @ LCC
13 July 2020

 
1. Sample adult mosquito populations at seven (7) permanent locations (specified below) in unincorporated
smaller PDF